Skip to content Skip to sidebar Skip to footer

Widget HTML #1

How To Write A Formula For A Sequence : A recursive formula allows us to find any term of an arithmetic sequence using a function of the preceding term.

How To Write A Formula For A Sequence : A recursive formula allows us to find any term of an arithmetic sequence using a function of the preceding term.. Writing the terms of a sequence defined by a recursive formula sequences occur naturally in the growth patterns of nautilus shells, pinecones, tree branches, and many other natural structures. State the initial term and substitute the common difference into the recursive formula for arithmetic sequences. In a geometric progression the quotient between one number and the next is always the same. Write an explicit formula for the sequence 10, 14, 18, 22. It explains how to see the patterns in to the write a general.

Each term is the sum of the previous term and the common difference. The sequence starts with 10, so that's the a sub 1. Generate a formula from a sequence. In this sequence each term is the sum of the previous two terms. To find a missing number in a sequence, first we must have a rule.

Writing A Recursive And Explicit Formula In Geometric Sequence Youtube
Writing A Recursive And Explicit Formula In Geometric Sequence Youtube from i.ytimg.com
Learn to find the last term of an arithmetic sequence and their sum using these formulas along with a solved example question. In this case, the nth term = 2n. Finding a formula for a sequence of numbers. Arithmetic sequences and sums sequence. This algebra video tutorial explains how to write a general formula of an arithmetic sequence. A sequence is a set of things (usually numbers) that are in order. The formula provides an algebraic rule for determining the terms of the sequence. { n + 1 n 2 } ∞ n = 1 = { 2.

B) find the 100 th term ( {a_{100}}).

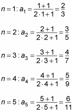
Finding a formula for a sequence of numbers. Such sequences can be expressed in terms of the nth term of the sequence. It is a linear function because it has a constant rate of change. Let us take an example of: A sequence is a set of things (usually numbers) that are in order. The sequence starts with 10, so that's the a sub 1. If you knew about sequences of differences, you can also use that. In the formula, is any term number and is the term. That is each subsequent number is increasing by 3. We can write the recursive rule for this sequence as follows: A) write a rule that can find any term in the sequence. Generate a formula from a sequence. Subtract any term from the subsequent term to find the common difference.

We can write the recursive rule for this sequence as follows: Here is a recursive formula of the sequence along with the interpretation for each part. All of these are in a proper sequence. Learn to find the last term of an arithmetic sequence and their sum using these formulas along with a solved example question. In a geometric progression the quotient between one number and the next is always the same.

Explicit Formulas Sequences Lesson Ppt Download
Explicit Formulas Sequences Lesson Ppt Download from slideplayer.com
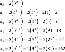
All right we're told that the arithmetic sequence a sub i is defined by the formula where the eighth term in the sequence is going to be four plus three times i minus one what is a sub 20 and so a sub 20 is the 20th term in the sequence and i encourage you to pause the video and figure out what is the 20th term well we can just think about it like this a sub 20 we just use this definition of. Let's take a look at a couple of sequences. Write an explicit formula for the sequence 10, 14, 18, 22. The second differences are all 4. Using you can simplify your computations somewhat by using a formula for the leading coefficient of the sequence's polynomial. The sequence starts with 10, so that's the a sub 1. To find the 1st term, put n = 1 into the formula, to find the 4th term, replace the n's by 4's: In a geometric progression the quotient between one number and the next is always the same.

We learn how to use the formula as well as how to derive it using the difference method.

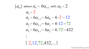
It is often useful to find a formula for a sequence of numbers. We learn how to use the formula as well as how to derive it using the difference method. This is a special sequence called the fibonacci sequence. To find the 1st term, put n = 1 into the formula, to find the 4th term, replace the n's by 4's: { n + 1 n 2 } ∞ n = 1 = { 2. Let's take a look at a couple of sequences. This means is the first term, and is the term before the term. Generate a formula from a sequence. Arithmetic sequence formula to calculate the nth term and sum of nth term is given here. Sequence formula mainly refers to either geometric sequence formula or arithmetic sequence formula. We can write a recursive rule: Such sequences can be expressed in terms of the nth term of the sequence. For example, to populate a column with 10 incremental numbers, type the below formula in the first cell (a2 in our case) and press the enter key:

This algebra video tutorial explains how to write a general formula of an arithmetic sequence. Sequence formula mainly refers to either geometric sequence formula or arithmetic sequence formula. Finding a formula for a sequence of numbers. In a geometric progression the quotient between one number and the next is always the same. All right we're told that the arithmetic sequence a sub i is defined by the formula where the eighth term in the sequence is going to be four plus three times i minus one what is a sub 20 and so a sub 20 is the 20th term in the sequence and i encourage you to pause the video and figure out what is the 20th term well we can just think about it like this a sub 20 we just use this definition of.

Geometric Sequence Formula Examples Video Lesson Transcript Study Com
Geometric Sequence Formula Examples Video Lesson Transcript Study Com from study.com
Having such a formula allows us to predict other numbers in the sequence, see how quickly the sequence grows, explore the mathematical properties of the sequence, and sometimes find relationships between one sequence and another. Finding a formula for a sequence of numbers. A sequence will start where ever it needs to start. A) write a rule that can find any term in the sequence. In order to write the explicit formula, you need to identify the first term and the common difference. This sequence can be described using the linear formula an = 3n − 2. { n + 1 n 2 } ∞ n = 1 = { 2. It is often useful to find a formula for a sequence of numbers.

To find the 1st term, put n = 1 into the formula, to find the 4th term, replace the n's by 4's:

State the initial term and substitute the common difference into the recursive formula for arithmetic sequences. It is often useful to find a formula for a sequence of numbers. A recursive formula allows us to find any term of an arithmetic sequence using a function of the preceding term. Here is a recursive formula of the sequence along with the interpretation for each part. Learn to find the last term of an arithmetic sequence and their sum using these formulas along with a solved example question. Arithmetic sequences and sums sequence. To recall, all sequences are an ordered list of numbers. That is each subsequent number is increasing by 3. Such sequences can be expressed in terms of the nth term of the sequence. Each number in the sequence is called a term (or sometimes element or member), read sequences and series for more details. We can write a recursive rule: This sequence can be described using the linear formula an = 3n − 2. In the formula, is any term number and is the term.

It is a linear function because it has a constant rate of change how to write a formula. The sequence starts with 10, so that's the a sub 1.